熱銷產品
更多>聯系我們
更多>公司地址:安徽省合肥市淮南北路寶灣國際B2-142
公司電話:0551-66700053
技術咨詢:159-5516-0584
官網地址:www.zlzjxw.cn
液壓油的粘度搞不懂?潤滑油廠家來解答!
一說到液壓油,就不得不提一下它的粘度,像我們常見的46#、68#等液壓油,是屬于運動粘度。大家也都知道,液壓油的粘度是非常重要的參數,太高或者太低都不利于液壓系統。液壓油的粘度很有講究,一起來看下潤滑油廠家怎么說。
液壓油的粘度搞不懂?
潤滑油廠家來解釋:
粘度事實上說的是粘性,就是流體抵抗剪切流動的內在屬性,主要有三種:動力粘度、運動粘度和相對粘度。
1.動力粘度/粘度
這個粘度是根據牛頓內摩擦定律計算所得。
公式如下:
其中,τ 代表的是摩擦切應力,du/dy速度梯度,μ 動力粘度(單位為:N?s/㎡,即Pa?s)。
簡單來說,動力粘度越大的流體,以相同流速流動時,受到的阻力越大。
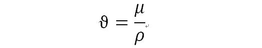
2.運動粘度
運動粘度=動力粘度/流體的密度,單位為㎡/s,常用m㎡/s(稱為厘斯,單位符號位cSt)。公式如圖:
前面也提過,我們常說的46號液壓油就屬于運動粘度,指的是在40℃時的運動粘度。
以46號液壓油為例,它代表的就是該油在40℃時的運動粘度約為46m㎡/s。
3.條件粘度/相對粘度
這個粘度指的是各種不同的粘度計所測量出來的粘度。
但鑒于方法太多,所以種類很多,比如恩氏粘度、雷氏粘度、賽氏粘度等。
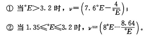
各種條件粘度,與運動粘度有一定的轉化公式,譬如,恩氏粘度°E與運動粘度v的關系如下:
不同的設備、季節、環境等因素都會影響到液壓系統對液壓油粘度的需求。具體選擇什么樣子的粘度,建議在購買前向賣家咨詢確認一下。如若關于液壓油粘度還有不懂的地方,直接聯系潤滑油廠家即可:400-9979-787。


